ニュースの要点
文部科学省は、私立大学等の令和7年度入学者に係る学生納付金等調査結果を発表した。
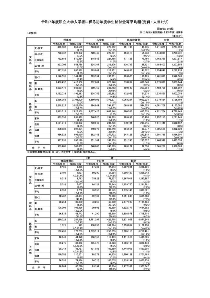
私大薬学部の授業料・入学料・施設設備費・実験実習料・その他の総計は2,181,184円で、令和5年度の前回調査から0.2%増加している。


ニュースの要点
文部科学省は、私立大学等の令和7年度入学者に係る学生納付金等調査結果を発表した。
私大薬学部の授業料・入学料・施設設備費・実験実習料・その他の総計は2,181,184円で、令和5年度の前回調査から0.2%増加している。

私立大学等の令和7年度入学者に係る学生納付金等調査結果について 文科省
※時間の経過とともに、出典元の資料が閲覧不可能になった場合は、リンクで飛べなくなります。ご了承ください。
この記事が気に入ったら
フォローしてね!